Cara menentukan ukuran sampel

Saat melakukan studi atau survei, memilih ukuran sampel yang tepat dapat berdampak besar pada hasil Anda. Untuk memastikan hasil Anda akurat dan menunjukkan populasi total, Anda akan ingin memilih persentase populasi yang secara akurat akan mencerminkan perspektif, preferensi, dan perasaan keseluruhan. Dalam artikel ini, kami menjelaskan apa itu sampel, mengeksplorasi mengapa ukuran sampel penting, membuat daftar langkah-langkah untuk menghitung ukuran sampel yang diperlukan, dan memberikan beberapa tip berharga untuk membantu Anda selama proses berlangsung.
Apa itu sampel?
Sampel adalah persentase dari suatu populasi yang berfungsi sebagai representasi untuk keseluruhan. Sampel sangat penting dalam statistik saat melakukan survei atau eksperimen karena, ketika dipilih dengan bijak, sampel tersebut secara akurat menggambarkan preferensi atau perasaan keseluruhan dari sekelompok orang yang lebih besar.
Misalnya, Anda ingin mengikuti survei untuk mengetahui preferensi merek pemilik kucing saat memilih dan membeli makanan kucing. Akan sangat memakan waktu dan mahal untuk mensurvei setiap pemilik kucing di negara ini. Sebagai gantinya, Anda akan mengambil sampel yang terdiri dari beberapa ribu pemilik kucing. Selain itu, jika Anda memilih sampel secara efektif, sampel akan tetap memberikan representasi yang baik dari semua pemilik kucing dan merek makanan kucing yang mereka sukai.
Mengapa ukuran sampel penting?
Seperti yang kami sebutkan sebelumnya, sampel dapat menawarkan data yang memungkinkan ahli statistik membuat kesimpulan tentang seluruh populasi. Melalui data yang dikumpulkan dari sampel, surveyor dapat memperkirakan hal-hal tentang suatu populasi. Menentukan ukuran sampel adalah salah satu aspek statistik yang lebih menantang dan bergantung pada berbagai faktor, termasuk ukuran populasi asli.
Semakin kuat ukuran sampel, semakin signifikan secara statistik data yang dikumpulkan darinya. Dengan kata lain, populasi sampel yang lebih besar berarti ada kemungkinan penurunan bahwa data merupakan hasil kebetulan, sehingga lebih akurat dan dapat diandalkan. Meskipun signifikansi statistik seringkali merupakan hasil positif, itu tidak selalu merupakan keharusan. Bahkan ketika ukuran sampel tidak dapat memberikan representasi yang akurat dari populasi umum, itu masih dapat memberikan informasi yang berharga.
Contohnya adalah ketika sebuah perusahaan mengambil survei umpan balik pelanggan. Terlepas dari apakah Anda telah memperoleh ukuran sampel yang signifikan secara statistik, perspektif dan pemikiran yang dikumpulkan dari pelanggan Anda akan memberi Anda umpan balik berharga yang kemudian dapat Anda gunakan untuk meningkatkan bisnis Anda. Di sisi lain, jajak pendapat politik harus rajin ketika memilih ukuran sampel yang tepat agar dapat mewakili seluruh populasi secara akurat.
Bagaimana menghitung ukuran sampel
Ikuti langkah-langkah berikut untuk menghitung ukuran sampel yang diperlukan untuk survei atau eksperimen Anda:
Tentukan jumlah populasi total
Pertama, Anda perlu menentukan jumlah total demografis target Anda. Misalnya, jika tujuan Anda adalah mengumpulkan informasi tentang ayah yang tinggal di Florida, ukuran populasi Anda harus merupakan jumlah total ayah yang saat ini tinggal di Florida. Tidak apa-apa jika Anda tidak yakin tentang jumlah pastinya. Banyak surveyor hanya memperkirakan total populasi di antara beberapa tebakan terpelajar.
Tentukan margin kesalahan
Juga dikenal sebagai interval kepercayaan, margin kesalahan menentukan seberapa banyak ruang untuk kesalahan yang ingin Anda izinkan. Dengan kata lain, seberapa besar perbedaan yang akan Anda izinkan antara rata-rata sampel Anda dan rata-rata dari total populasi.
Pilih tingkat kepercayaan diri
Tingkat kepercayaan Anda menunjukkan seberapa yakin Anda bahwa rata-rata sebenarnya akan berada dalam margin kesalahan yang Anda pilih. Kebanyakan surveyor memilih tingkat kepercayaan yang 90%, 95% atau 99% percaya diri. Tingkat kepercayaan yang Anda tentukan kemudian sesuai dengan nilai Z, atau nilai konstan, yang diperlukan untuk persamaan ukuran sampel. Berikut adalah Z-skor untuk tiga tingkat kepercayaan yang paling umum:
90% = 1,645
95% = 1,96
99% = 2.576
Pilih standar deviasi
Selanjutnya, Anda perlu menentukan standar deviasi Anda, atau tingkat varians yang Anda harapkan dalam informasi yang dikumpulkan. Jika Anda belum melakukan survei, memilih 0,5 biasanya merupakan pilihan aman yang akan memastikan ukuran sampel yang cukup besar.
Selesaikan perhitungannya
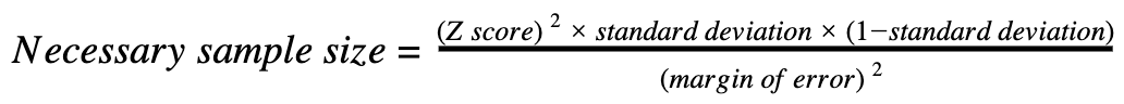
Terakhir, Anda dapat menggunakan nilai ini untuk menghitung ukuran sampel yang Anda perlukan. Anda dapat melakukannya dengan menggunakan rumus atau dengan mencari kalkulator ukuran sampel online. Untuk menghitung ukuran sampel sendiri, Anda perlu menggunakan persamaan ini:

Berikut adalah beberapa tip yang terbukti bermanfaat ketika mencoba menentukan dan menghitung ukuran sampel yang diperlukan:
- Jika populasinya cukup kecil, Anda dapat mempertimbangkan untuk melakukan sensus. Ini, tentu saja, akan tergantung pada seberapa kecil populasinya, waktu seperti apa yang Anda miliki, dan anggaran yang tersedia.
- Seseorang mungkin pernah melakukan survei yang serupa dengan Anda sebelumnya sehingga akan berguna untuk mencari database akademik untuk menemukan studi serupa dan menggunakan ukuran sampel yang sama. Namun, berhati-hatilah: Anda akan mengandalkan perhitungan mereka, yang bisa jadi salah.
- Bergantung pada ukuran populasi Anda dan jenis studi yang Anda lakukan, Anda mungkin dapat menemukan tabel yang menguraikan ukuran sampel yang diperlukan.
- Seperti yang kami sebutkan sebelumnya, Anda selalu dapat menggunakan kalkulator ukuran sampel online alih-alih menyelesaikan perhitungan sendiri. Ini sering gratis dan relatif mudah digunakan.



